Introduction
Primary Central Nervous System Lymphoma (PCNSL) is a rare form of extra-nodal non-Hodgkin Lymphoma (NHL), with diffuse large B-cell Lymphoma (DLBCL) reported in 90% of cases. Secondary CNS lymphoma (SCNSL) may occur as an isolated recurrence of previously diagnosed NHL or occur simultaneously as a manifestation of systemic disease. Comparative data on survival in treated PCNSL and SCNSL in the real-world setting is lacking. We present a retrospective analysis of outcomes in PCNSL and SCNSL patients treated at the Houston Methodist Cancer Center.
Methods
We retrospectively identified patients with a diagnosis of PCNSL or SCNSL from 2015 to 2020. Data collected included age, race, sex, diagnosis (PCNSL, SCNSL), histology and immunohistochemistry, treatment type (chemotherapy, radiation), transplant rates as well as outcomes (alive/dead). Responses were classified as complete response (CR), partial response (PR), stable disease (SD) and progressive disease (PD). Survival was analyzed using Kaplan-Meier methodology, and log-rank tests were used to compare survival distributions. P < 0.05 was considered statistically significant.
Results
There were 50 patients with CNS lymphoma identified between 2015 and 2020; 68% were PCNSL. Out of 43 with available pathology, 2 patients were T-cell lymphomas and 41 DLBCL. Out of the DLBCL cases, 95% of cases expressed CD20 while close to 60% were positive for MUM1, bcl-2 and bcl-6. Less than 15% of cases were positive for CD10. CD30 was positive in 17% of cases.
Cerebral hemispheres (76%) was the most common organ involved, followed by ocular (8%), intraventricular space (6%) and cerebellum (6%). Median age at diagnosis was 67 years; male to female ratio was 1.27. Caucasian (62%) and Hispanic (24%) were most common ethnicities. Epstein-Barr Virus was positive in 14% of patients (5 in PCNSL and 2 in SCNSL). One patient with SCNSL had human immunodeficiency virus. The median follow-up time was 9.1 months.
Multiagent chemotherapy including high dose methotrexate (MTX), cytarabine and rituximab was given to 48% of the patients while 32% received high dose MTX alone plus rituximab. From the latter group, five out of sixteen patients received temozolomide. Other regimens were used in 6% of the cases. Median dose of MTX in a multiagent chemotherapy regimen was 2.5gr/m2 and 2.25gr/m2 when used alone or with temozolomide. Median number of cycles given was 3. Radiation therapy alone was given to 8% of cases. Three patients did not receive treatment.
For patients with PCNSL, overall response rate (ORR) was 82.8% (CR 65.5%, PR 13.8%, SD 3.4%). ORRs were similar between multiagent chemotherapy and methotrexate alone (+/- temozolomide) with 86.7% and 83.3% respectively. ORR for SCNSL was 57.1% (CR 35.7%, PR 21.4%); only 1 patient was treated with MTX alone. Further lines of therapy were required in 9.3% of patients. Consolidation with whole brain radiation was given in 22% of the cases (29.4% for PCNSL and 6.3% for SCNSL). Autologous stem cell transplant was performed in 10% of the patients (2 PCNSL, 3 SCNSL).
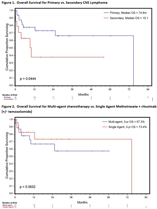
Overall survival for patients with PCNSL was 74.8 months and 10.1 months for SCNSL (p=0.0444) (Figure 1). Survival was not significant between patients receiving multiagent chemotherapy and MTX alone or in combination with temozolomide (3-year OS 57.3% vs 73.4%, p= 0.5652) (Figure 2).
Conclusion
Most patients diagnosed with PCNSL are non-germinal center DLBCL. Median MTX dose was lower than 3gr/m2 with excellent ORR of over 80% in PCNSL. Response rates were lower in SCNSL and in general, patients with PCNSL had better outcomes. Survival did not differ significantly between regimens, suggesting that a lower intensity therapy may perform similarly to multiagent chemotherapy. These results need to be confirmed by prospective studies.
No relevant conflicts of interest to declare.
Author notes
Asterisk with author names denotes non-ASH members.
